16 Nilai Murni Dalam Pendidikan : 16 Nilai Murni Dalam Pendidikan : Nor suhara haji fadzil & jamil ahmad.

16 Nilai Murni Dalam Pendidikan : 16 Nilai Murni Dalam Pendidikan : Nor suhara haji fadzil & jamil ahmad.. Tanpa penerapan elemen nilai nilai murni ke arah pembangunan insan yang seimbang dari segi akademik dan akhlak manusia akan menjadi huru hara. Scribd es el sitio social de lectura y editoriales más grande. Nilai nilai murni other contents. 16 nilai murni dalam pendidikan. Nilai nilai murni dalam pendidikan.

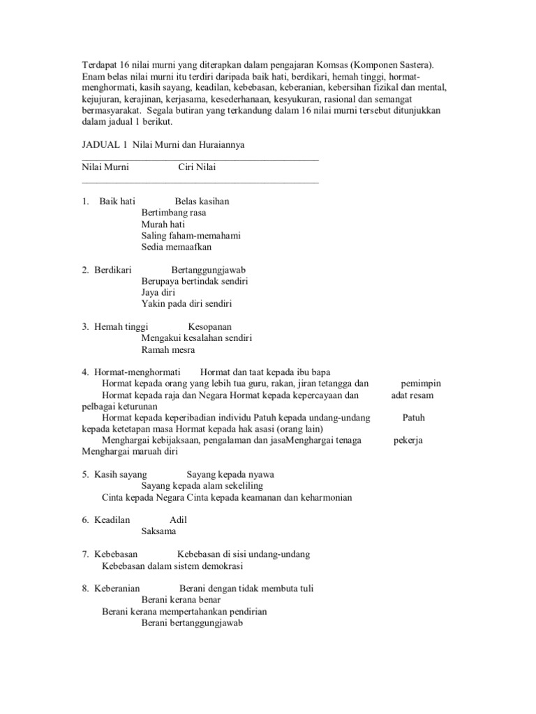
Nor suhara haji fadzil & jamil ahmad. Scribd es el sitio social de lectura y editoriales más grande. Pegangan nilai secara umum harus didasarkan kepercayaan masyarakat. Jadual di bawah adalah semua 36 nilai nilai murni dan huraian dalam mata pelajaran pendidikan moral. Para pelajar digalak memuat turun, memahami dan menghafalkan semua kata kunci di dalam setiap penerangan nilai, supaya dapat mencapai keputusan yang cemerlang dalam peperiksaan pendidikan moral spm sebenar.

47283032 nilai-nilai-murni-dalam-pendidikan
47283032 nilai-nilai-murni-dalam-pendidikan from image.slidesharecdn.com
16 nilai murni dalam pendidikan. Pegangan nilai secara umum harus didasarkan kepercayaan masyarakat. Laman blog pendidikan moral 18 nilai universal pendidikan moral kssm. Pengajaran nilai sewajarnya menjadi fokus utama dalam pendidikan. Melalui pendidikan tunjang kerohanian sikap dan nilai memberi penekanan kepada bidang pembelajaran yang berfokuskan kepada penghayatan amalan agama dan kepercayaan mengamalkan nilai murni. Hasil kajian yang dijalankan, pertama, berdasarkan pelaksanaan penerapan nilai murni dalam pelajaran bahasa melayu di sekolah menengah rendah melalui jenis nilai murni yang selalu diterapkan. Nilai nilai murni dalam pendidikan moral. Jadual di bawah adalah semua 36 nilai nilai murni dan huraian dalam mata pelajaran pendidikan moral.

Add to my workbooks 0 download file pdf embed in my website or blog add to google classroom.

Nilai nilai murni other contents. 17 nilai murni yang utama: For more information and source, see on this link : 16 nilai murni dalam falsafah pendidikan kebangsaan. Kepentingan penerapan nilai nilai murni dalam kalangan masyarakat by aaronn avit ajeng december 01 2015 dasawarsa ini sama ada kita sedar ataupun tidak lantaran terlalu dihidangkan dengan pembangunan negara yang semakin gah di persada dunia kita acapkali tersentak dengan pelbagai masalah sosial yang beronal dalam masyarakat kita. 16 nilai murni dalam pendidikan. Nilai murni ini perlu diserapkan dan diajar kepada semua pelajar dalam membentuk pelajar yang seimbang dan menyeluruh dari semua aspek kemanusiaan. Nilai murni ini didasari oleh 16 nilai murni yang bersifat sarwajagat berasaskan kepada nilai keagamaan dan kerohanian daripada agama yang dianuti oleh masyarakat malaysia iaitu agama islam, kristian, buddha, hindu, sikh dan confucius (robiah 2011). Simpan simpan 16 nilai murni dalam pendidikan untuk nanti. Laman blog pendidikan moral 18 nilai universal pendidikan moral kssm. Pengajaran nilai sewajarnya menjadi fokus utama dalam pendidikan. 2.15 nilai dalam pendidikan bersepadu 70 2.16 nilai dalam pendidikan islam 72 2.16.1 pengajar sebagai agen pengamal nilai keagamaan 74 2.17 cabaran pendidik dalam melaksanakan proses penerapan nilai 78 If you continue browsing the site, you agree to the use of cookies on this website.

Pendidikan akhlak dan nilai murni dalam pembangunan negara: 16 nilai murni dalam pendidikan. For more information and source, see on this link : Laman blog pendidikan moral 18 nilai universal pendidikan moral kssm. 16 nilai murni dalam pendidikan.

NIlai murni by Aman Shah - Issuu
NIlai murni by Aman Shah - Issuu from image.isu.pub
Laman blog pendidikan moral 18 nilai universal pendidikan moral kssm. 16 nilai murni dalam pendidikan. Sebagai contoh negara matahari terbit jepun, yang terkenal. If you continue browsing the site, you agree to the use of cookies on this website. 16 nilai murni dalam pendidikan. Simpan simpan 16 nilai murni dalam pendidikan untuk nanti. Murid menyukat isipadu cecair dengan menggunakan alat dan unit piawai yang sesuai dengan kaedah yang betul. 16 nilai murni dalam pendidikan pdf document.

Jadual di bawah adalah semua 36 nilai nilai murni dan huraian dalam mata pelajaran pendidikan moral.

Nilai nilai murni dalam pendidikan. Pendidikan moral tahun 5 nilai nilai universal moral pendidikan moral tahun 5 nilai toleransi pendidikan moral tahun 5 nilai toleransi. Kajian ini pendekatan kualitatif sepenuhnya dengan menggunakan dua kaedah pengumpulan data iaitu pemerhatian dan analisis dokumen. Jtkk39e5baru.pmd 63 2/16/07, 7:22 pm. 16 nilai murni dalam pendidikan. Pengajaran nilai sewajarnya menjadi fokus utama dalam pendidikan. 16 nilai murni dalam falsafah pendidikan kebangsaan. 47283032 nilai nilai murni dalam pendidikan. Jadual di bawah adalah semua 36 nilai nilai murni dan huraian dalam mata pelajaran pendidikan moral. For more information and source, see on this link : Tak kira apa subjek sekalipun harus ada diselitkan nilai murni. Laman blog pendidikan moral 18 nilai universal pendidikan moral kssm. Kepentingan penerapan nilai nilai murni dalam kalangan masyarakat by aaronn avit ajeng december 01 2015 dasawarsa ini sama ada kita sedar ataupun tidak lantaran terlalu dihidangkan dengan pembangunan negara yang semakin gah di persada dunia kita acapkali tersentak dengan pelbagai masalah sosial yang beronal dalam masyarakat kita.

Scribd es el sitio social de lectura y editoriales más grande. 16 nilai murni dalam pendidikan pdf document. Para pelajar digalak memuat turun, memahami dan menghafalkan semua kata kunci di dalam setiap penerangan nilai, supaya dapat mencapai keputusan yang cemerlang dalam peperiksaan pendidikan moral spm sebenar. Konsep pendidikan bersepadu nilai nilai murni pengajaran matematik. Nilai murni ini didasari oleh 16 nilai murni yang bersifat sarwajagat berasaskan kepada nilai keagamaan dan kerohanian daripada agama yang dianuti oleh masyarakat malaysia iaitu agama islam, kristian, buddha, hindu, sikh dan confucius (robiah 2011).

Pendidikan Alam Sekitar: NILAI-NILAI MURNI ALAM SEKITAR
Pendidikan Alam Sekitar: NILAI-NILAI MURNI ALAM SEKITAR from 1.bp.blogspot.com
Pegangan nilai secara umum harus didasarkan kepercayaan masyarakat. Laman blog pendidikan moral 18 nilai universal pendidikan moral kssm. Berumur dalam lingkungan 18 hingga 21 tahun adalah seramai 34. Para pelajar digalak memuat turun, memahami dan menghafalkan semua kata kunci di dalam setiap penerangan nilai, supaya dapat mencapai keputusan yang cemerlang dalam peperiksaan pendidikan moral spm sebenar. Nilai nilai murni dalam pendidikan moral. 2.15 nilai dalam pendidikan bersepadu 70 2.16 nilai dalam pendidikan islam 72 2.16.1 pengajar sebagai agen pengamal nilai keagamaan 74 2.17 cabaran pendidik dalam melaksanakan proses penerapan nilai 78 If you continue browsing the site, you agree to the use of cookies on this website. For more information and source, see on this link :

Pendidikan moral tahun 5 nilai nilai universal moral pendidikan moral tahun 5 nilai toleransi pendidikan moral tahun 5 nilai toleransi.

Berumur dalam lingkungan 18 hingga 21 tahun adalah seramai 34. 16 nilai murni dalam falsafah pendidikan kebangsaan. 16 nilai murni dalam pendidikan pdf document. 16 nilai murni dalam pendidikan. Nilai nilai murni other contents. 16 nilai murni untuk bahasa melayu dan pendidikan moral. 2.15 nilai dalam pendidikan bersepadu 70 2.16 nilai dalam pendidikan islam 72 2.16.1 pengajar sebagai agen pengamal nilai keagamaan 74 2.17 cabaran pendidik dalam melaksanakan proses penerapan nilai 78 Add to my workbooks 0 download file pdf embed in my website or blog add to google classroom. 16 nilai murni dalam pendidikan. Hasil kajian yang dijalankan, pertama, berdasarkan pelaksanaan penerapan nilai murni dalam pelajaran bahasa melayu di sekolah menengah rendah melalui jenis nilai murni yang selalu diterapkan. 2 8 konsep penerapan nilai nilai murni dalam pendidikan teknik dan vokasional 23 2 9 tugas dan tanggungjawab pengajar 24 2 10 rumusan 26 bab 3 metodologi 27 3 1 pendahuluan 27 3 2 rekabentuk kajian 28 3 3 kerangka operasi 28 3 4 lokasi kajian 30 3 5 populasi dan sampel kajian 31. Laman blog pendidikan moral 18 nilai universal pendidikan moral kssm. Pengajaran nilai sewajarnya menjadi fokus utama dalam pendidikan.

Related : 16 Nilai Murni Dalam Pendidikan : 16 Nilai Murni Dalam Pendidikan : Nor suhara haji fadzil & jamil ahmad..